Investigadores del grupo: Clara Peña & Daniel Castro
En este componente investigamos la diversidad y funcionalidad de la macrofauna del suelo.
La macrofauna del suelo es un importante reservorio de biodiversidad mundial y puede constituir una gran parte de la biomasa faunística total del suelo
La recuperación de la vida del suelo en tierras degradadas es diferente para cada grupo de artrópodos
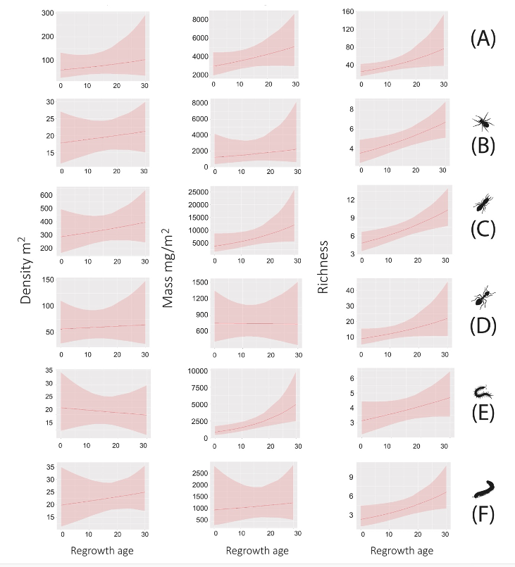
Cuando se abandonan pasturas degradadas en la Amazonia, la naturaleza comienza a recuperarse poco a poco. Uno de los indicadores más importantes de esa recuperación es la vida que regresa al suelo: insectos, lombrices, termitas, escarabajos y otros pequeños organismos que cumplen funciones esenciales para mantener la salud del ecosistema. Este estudio explora cómo se comporta esa recuperación del suelo a lo largo del tiempo, observando lugares con diferentes grados de regeneración: desde pasturas aún activas, pasando por áreas jóvenes en recuperación, hasta bosques secundarios más maduros.
El estudio liderado por el Investigador Daniel Castro del Instituto SINCHI sede Leticia y otros investigadores del instituto de la misma sede y la sede de Florencia recolectaron macroartropodos (animales invertebrados con paras articuladas y exoesqueleto, además de ser visibles a simple vista), del suelo excavando hasta 30 centímetros de profundidad, y analizaron tanto su cantidad como su peso y su diversidad. Encontraron que, aunque la mayoría de la fauna se concentra en los primeros 10 centímetros del suelo, cada grupo responde de manera distinta al proceso de regeneración. Por ejemplo, las termitas o comejenes —conocidas como ingenieras del ecosistema por su capacidad para modificar el suelo— mantuvieron su presencia y funciones clave en todas las etapas del proceso.
Además, se observó que los descomponedores y depredadores del suelo (como algunos escarabajos y milpiés) tienden a aumentar a medida que avanza la recuperación del bosque, mientras que otros grupos, como ciertas hormigas y herbívoros, son más comunes en las pasturas o en los primeros años del proceso de restauración. Esto sugiere que no todos los organismos regresan al mismo ritmo ni de la misma manera.
En resumen, la regeneración natural de pasturas degradadas sí permite el retorno de muchas formas de vida del suelo, pero este proceso es gradual y complejo. Para que el suelo recupere plenamente su funcionalidad ecológica, es fundamental permitir que se restablezca su biodiversidad, especialmente las especies clave que construyen hábitat y promueven la fertilidad, como las termitas. Estos hallazgos ofrecen pistas valiosas para mejorar las estrategias de restauración ecológica en la Amazonia y otros ecosistemas tropicales.

Modelos predictivos de los cambios en la densidad, masa fresca y riqueza de especies de los macroartropodos del suelo a lo largo de la regeneración natural de pasturas degradadas. (A) Todos los grupos, (B) arañas, (C) comejénes o termitas, (D) hormigas, (E) ciempiés, (F) mil pies.
El articulo original donde puedes ampliar esta información es “Soil macroarthropod communities of Amazon degraded pastures restore differently during their natural regrowth” disponible en el link: https://doi.org/10.3897/natureconservation.58.136370
¿Qué metodología se recomienda para estudiar la macrofauna del suelo?
Liderado por el Dr. Brown (https://orcid.org/0000-0001-9550-6909) un nutrido grupo de científicos identificamos la eficiencia e importancia del uso de la metodología TSBF (Tropical Soil Biology and Fertility method) estandarizada por el uso de monolitos en el estudio de la macrofauna del suelo, mostrando que esta metodología de colecta general ha permite encontrar hasta 42 taxones de fauna de suelo diferente, siendo un número muy alto para ser una metodología generalista no desarrollada para grupos particulares.
Esta es la metodología que los investigadores de suelos del Instituto SINCHI usan para estudiar la macrofauna de los suelos amazónicos.

Mas información en el artículo “Soil macrofauna communities in Brazilian land-use systems” disponible en el link: https://doi.org/10.3897/BDJ.12.e115000
Las micorrizas arbusculares de la uña de gato
La uña de gato es una de las especies medicinales de la región amazónica, de la cual se conocen dos especies diferentes. Su extracción se hace directamente del bosque, por lo que la especie presenta una alta presión por su uso y se ha intentado su cultivo con poco éxito.
Los investigadores del Instituto SINCHI en compañía de investigadores de la Universidad Nacional de Colombia, analizaron las micorrizas arbusculares en las dos especies de uña de gato identificadas con propiedades medicinales, encontrando diferencias en la distribución de las especies en la zona sur de la Amazonia colombiana. Los análisis de micorrizas de las espacies indican que se asemejan más a plantas de vida silvestre que a plantas domesticadas, lo cual explicaría porque las iniciativas de cultivo de uña de gato fuera del bosque han tenido poco éxito.

Mas información en el artículo “Arbuscular mycorrhizal characterization associated with Uncaria guianensis and Uncaria tomentosa in Amazonian soils” disponible en el link: https://doi.org/10.22267/rcia.20234002.207
Encuentran en la Amazonia a la hormiga más pequeña de su grupo
En las profundidades del suelo amazónico habita un grupo de hormigas poco conocido: las del género Typhlomyrmex. Este estudio liderado por el profesor Fernando Fernández del Instituto Nacional de Ciencias Naturales, y apoyado por Giapiero Fiorentino del Instituto Tecnológico de New Jersey (USA) y Daniel Castro del Instituto SINCHI – sede Leticia, presenta el descubrimiento de una nueva especie para la ciencia, Typhlomyrmex encanto, encontrada en la Amazonia colombiana, y además ofrece nuevas descripciones detalladas de otras dos especies poco documentadas: T. clavicornis y T. prolatus.
Estas hormigas son diminutas, casi ciegas y viven escondidas entre el suelo y la madera en descomposición, lo que ha dificultado su estudio por años. Gracias a técnicas de muestreo diseñadas para fauna subterránea, los investigadores lograron recolectar ejemplares a profundidades de hasta 30 cm. La especie nueva, T. encanto, destaca por ser la más pequeña conocida dentro de su grupo (Ectatomminae) y por una particular estructura en su “cara” (el clypeo), no vista en otras hormigas del mismo género y que solo es posible ver a grandes aumentos debido a su tamaño.
Además del descubrimiento, se reexaminaron dos especies poco conocidas: T. clavicornis, que ahora se sabe tiene una mayor distribución en Suramérica, y T. prolatus, que se confirma por primera vez para Suramérica. Ambas especies tienen formas y detalles únicos en sus antenas y abdomen, lo que permite diferenciarlas de otras del grupo.
El trabajo no solo contribuye al conocimiento taxonómico de estas hormigas “invisibles”, sino que también subraya lo poco que sabemos sobre la biodiversidad subterránea. Muchas especies como estas están aún por descubrir, y su rol ecológico en la formación y funcionamiento del suelo puede ser clave en la conservación de ecosistemas tropicales.

Microfotografías de la especie Typhomyrmex encanto, llamada así por tres razones: I) la palabara encanto que revela belleza en español; II) la localidad donde fue encontrada es el área no municipalizada de El Encanto en el departamento del Amazonas por el río Putumayo; III) en referencia a la película de Disney encanto que refleja la cultura colombiana. La barra de escala es de 0.2 mm.
Mas información en el artículo “A new species of Typhlomyrmex from Colombia, re-description of the worker of T. clavicornis Emery, description of the worker of T. prolatus Brown, and key of known species (Hymenoptera, Formicidae)” disponible en el siguiente link: https://doi.org/10.3897/jhr.96.103219
Acorhinotermes murui: una termita amazónica con nombre indígena
En los suelos de los bosques amazónicos aún se esconden especies desconocidas para la ciencia. Este estudio publicado en la revista especializada en taxonomía animal ZOOTAXA, realizado por Daniel Castro, investigador del Instituto SINCHI describe una nueva especie de termita consumidora de madera, Acorhinotermes murui, encontrada en la región de la cuenca media del río Putumayo, en Colombia y Perú. Esta especie pertenece a un grupo muy poco diverso, del cual hasta ahora solo se conocían dos especies. Acorhinotermes murui es la tercera en ser identificada y aporta nuevas pistas sobre la evolución y distribución de estas termitas en el continente.
Una de las características más destacadas de esta nueva especie es su soldado, que presenta una cabeza más oscura que las otras del género, y una estructura frontal fuertemente inflada que la hace fácilmente reconocible. También se diferencia por el tamaño y forma del labro y los detalles del aparato digestivo.
El nombre murui fue elegido en homenaje al pueblo indígena Murui, habitantes ancestrales del área donde fue hallada la especie. El descubrimiento resalta no solo la riqueza biológica de la Amazonia, sino también el vínculo profundo entre biodiversidad y culturas locales.
Más allá de lo taxonómico, este hallazgo pone de manifiesto lo poco que sabemos sobre los organismos que habitan bajo el suelo. A diferencia de otras termitas más conocidas, Acorhinotermes suele pasar desapercibida por vivir en lo profundo del suelo o en madera en descomposición. Esto ha contribuido a lo que los científicos llaman el “déficit de conocimiento de biodiversidad de Wallace” (o Wallacean shortfall), es decir, la falta de información sobre la distribución real de muchas especies. La aparición de A. murui en nuevas zonas sugiere que todavía hay mucho por descubrir bajo nuestros pies.

Microfotografías de la cabeza del soldado de la especie Acorhinotermes murui.
Mas información en el artículo “Acorhinotermes murui sp. nov.(Blattodea: Isoptera: Rhinotermitidae:Rhinotermitinae), a new termite species from the Amazon basin” disponible en el siguiente link: https://doi.org/10.11646/zootaxa.5353.3.7
Termitas del suelo: descubren una nueva especie y cuatro géneros
En el suelo amazónico viven muchas especies de termitas que no tienen soldados y que aún hoy siguen siendo un desafío para la ciencia. Este estudio internacional, con participación colombiana por parte del investigador Daniel Castro de la sede Leticia del SINCHI, da un paso importante para cerrar esa brecha de conocimiento al describir cuatro nuevos géneros y una nueva especie de termitas subterráneas del grupo Apicotermitinae en América del Sur.
Las termitas sin soldados son esenciales para la salud del suelo: lo remueven, lo airean, reciclan nutrientes y ayudan en la descomposición de materia orgánica. Sin embargo, su identificación ha sido históricamente difícil porque viven bajo tierra, tienen cuerpos pequeños y muy similares, y sus características clave están en su aparato digestivo. Este trabajo usó tanto microscopía avanzada como análisis genéticos de ADN mitocondrial para reconocer diferencias sutiles entre especies y definir grupos nuevos.
El estudio describe en detalle a Anoplotermes susanae, una nueva especie de Brasil, Ecuador y Guayana Francesa, y describe los nuevos géneros Hirsutitermes, Krecekitermes, Mangolditermes y Ourissotermes, cada uno con una sola especie por ahora, a esto se le llaman géneros monotípicos. Estos hallazgos ayudan a ordenar un grupo que era un verdadero “cajón de sastre” taxonómico, donde muchas especies diferentes se habían agrupado incorrectamente bajo un mismo nombre.
Además de enriquecer el conocimiento de la biodiversidad del suelo en el Neotrópico, el trabajo tiene aplicaciones prácticas. Muchas de estas termitas, como Krecekitermes daironi, son comunes en bosques y plantaciones, por lo que pueden usarse como indicadores ecológicos para evaluar la salud de los suelos tropicales, como dato adicional de esta especie, la etimología es honor al botánico Dairon Cárdenas fundador del herbario COAH del Instituto SINCHI.

Krecekitermes daironi, uno de los nuevos géneros descritos. Se muestra la casta del alado (superior) y el obrero con su morfología externa e interna necesaria para su identificación.
Mas información en el artículo “Diminishing the taxonomic gap in the neotropical soldierless termites: descriptions of four new genera and a new Anoplotermes species” disponible en el siguiente link: https://doi.org/10.11646/zootaxa.5353.3.7
Las lombrices de tierra y su relación con la presencia humana en la Amazonia
Este estudio que reunió a investigadores del todo el mundo incluyendo investigadores del Instituto SINCHI, estudió las lombrices que aparecen asociadas a suelos creados por los antiguos pobladores de la Amazonia que habitaron antes de la llegada de los Europeas a América y que se conocen como Terras Pretas (Amazon Dark Earths (ADE) en inglés, y las lombrices de suelos sin presencia humana (REF).
El estudio encontró que hay una mayor diversidad de lombrices de tierra en ADE que en REF, en donde especies como Pontoxcolex coretrurus muestra ser una especie afín a zonas agrícolas, disturbadas por el hombre, incluyendo zonas de asentamientos antiguos, mientras que, en zonas de bosque sin aparente presencia de asentamientos humanos o agricultura, predomina una menor diversidad de especies nativas.

Mas información en el artículo “Amazonian earthworm biodiversity is heavily impacted by ancient and recent human disturbance” disponible en el siguiente link: https://doi.org/10.1016/j.scitotenv.2023.165087
sOilFauna: una alianza global para entender la macrofauna del suelo
El proyecto internacional sOilFauna, liderado por Jérôme Mathieu y colaboradores, ha iniciado una ambiciosa síntesis global sobre la biodiversidad y funcionamiento de las comunidades de macrofauna del suelo. A partir de la base de datos MACROFAUNA, que reúne información estandarizada sobre abundancia y biomasa de 17 grupos de invertebrados del suelo en más de 7.000 sitios alrededor del mundo, donde el Instituto SINCHI contribuye con información de más de 150 sitios en cinco departamentos amazónicos.
El proyecto busca identificar los factores ambientales, climáticos y de uso del suelo que influyen en la estructura y función de estas comunidades. Esta iniciativa, financiada por el centro de síntesis sDiv (Alemania), también pretende fomentar una red de colaboración científica abierta y global para mejorar el conocimiento sobre el rol de la macrofauna en los ecosistemas terrestres y su respuesta frente al cambio global. El artículo presenta los objetivos, hipótesis y métodos del proyecto, así como una invitación a científicos a contribuir con sus datos a esta gran red de ciencia colaborativa.

Localización de sitios de la matriz global de macrofauna del suelo.
Mas información en el artículo “sOilFauna -a global synthesis effort on the drivers of soil macrofauna communities and functioning” disponible en el siguiente link: https://doi.org/10.25674/so94iss2id282
Historia del estudio de los hongos formadores de micorrizas arbusculares en la Amazonia colombiana
Este trabajo cuenta la historia del estudio de las micorrizas arbusculares en la Amazonia colombiana, desde el primer estudio en el año 1988 de las micorrizas arbusculares asociadas al seje para la zona de Araracuara, hasta la fecha.
También discute como han cambiado sus técnicas y los cuellos de botella con los que se ha encontrado, y cómo la información generada muestra un gradiente biogeográfico de distribución de géneros, correspondiente a la información generada para la Amazonia brasileña y colombiana.

Mas información en el capítulo “Arbuscular mycorrhizal fungi in the Colombian Amazon: a historical review” disponible en el siguiente link: https://doi.org/10.1007/978-3-031-12994-0_4
Indicadores del suelo revelan el poder de la regeneración natural en zonas deforestadas
Un estudio liderado por investigadores del Instituto SINCHI sede Florencia y Leticia e investigadores de la Universidad de la Amazonia analizó cómo se recupera la calidad del suelo durante la sucesión natural de potreros abandonados en paisajes deforestados de la Amazonia colombiana. A lo largo de una cronosecuencia con etapas de regeneración entre 3 y más de 40 años, se evaluaron variables físicas, químicas y biológicas del suelo, incluyendo macrofauna y agregados. Los resultados muestran que, tras una década de regeneración, los suelos comienzan a recuperar su calidad, con mejoras notables en la porosidad, reducción de la compactación y aumento de la biodiversidad edáfica, especialmente de termitas y hormigas.
Aunque el indicador general de calidad del suelo (GISQ) no logró distinguir claramente entre etapas sucesionales, sí reflejó una mejora sostenida de la salud del suelo en áreas en regeneración frente a las pasturas degradas sin proceso regenerativo, lo que resalta el potencial de restauración natural como estrategia clave frente a la degradación causada por la ganadería extensiva.
Análisis de componentes principales (PCA) aplicado a cuatro subindicadores de calidad del suelo (físico, químico, biodiversidad de la macrofauna y agregación). (a) Muestra cómo cada subindicador contribuye a explicar la variabilidad del suelo entre sitios. (b) Los puntos representan parcelas agrupadas por etapa sucesional; se observa que los potreros degradados se separan de las áreas en regeneración y de los bosques maduros. (c) La calidad del suelo también varía según el tipo de paisaje (colinas vs. montaña), aunque en menor medida. El análisis muestra que el avance en la sucesión natural está asociado a una mejora integral en la calidad del suelo.
Mas información en el artículo “Soil Quality Restoration during the Natural Succession of Abandoned Cattle Pastures in Deforested Landscapes in the Colombian Amazon” disponible en el siguiente link: https://doi.org/10.3390/agronomy11122484
Evidencias de cambios en las comunidades de hongos formadores de micorrizas asociados con la restauración del suelo
Este trabajo realizado por investigadores del Instituto SINCHI describe los hongos formadores de micorrizas asociados a coberturas de diferente edad de regeneración natural, desde las praderas introducidas hasta bosques de más de 40 años de edad.
La aplicación de técnicas moleculares para el estudio de estos hongos permitió por primera vez evidenciar el cambio en la composición de estos hongos, en donde áreas bajo praderas introducidas y rastrojos jóvenes son dominadas por el género Glomus, el cual va siendo reemplazado por el género Paraglomus a lo largo de la sucesión, hasta dominar los suelos de bosques maduros.

Mas información en el artículo “Changes in Soil-Borne Communities of Arbuscular Mycorrhizal Fungi during Natural Regrowth of Abandoned Cattle Pastures Are Indicative of Ecosystem Restoration” disponible en el siguiente link: https://doi.org/10.3390/agronomy11122468
Termitas revelan el impacto de los sistemas de cultivo de caucho sobre la biodiversidad del suelo
Un estudio liderado por investigadores del Instituto SINCHI sede Leticia y la Universidad Nacional de Colombia evaluó si los sistemas de cultivo de caucho pueden recuperar la diversidad de termitas en potreros degradados del Caquetá, Amazonia colombiana. Se compararon tres tipos de sistemas de caucho —plantaciones comerciales, campos clonales y cultivos mixtos con copoazú— frente a pasturas activas y relictos de bosque natural. Se recolectaron 80 especies de termitas, con una clara disminución de la riqueza en pasturas y plantaciones mixtas. Las plantaciones comerciales, especialmente las más maduras, mostraron una recuperación parcial de la diversidad de termitas, incluyendo especies comunes en bosques.
Sin embargo, la diversidad en los sistemas de caucho no alcanzó los niveles del bosque natural, lo que indica que la restauración de comunidades de termitas depende tanto del tipo de sistema agrícola como de las prácticas de manejo implementadas. Algunas especies clave se propusieron como indicadores de hábitats conservados o degradados, destacando la sensibilidad de las termitas como bioindicadores de calidad del suelo en paisajes amazónicos transformados.

Curvas de rarefacción y extrapolación de diversidad de especies de termitas en cinco tipos de uso del suelo en la Amazonia colombiana.
(a) Diversidad observada y esperada según el número de unidades de muestreo. (b) Diversidad ajustada según la cobertura del muestreo. Los relictos de bosque natural (NF) presentan la mayor riqueza de especies, seguidos por las plantaciones comerciales (CR) y los campos clonales (CF). Las plantaciones mixtas (MX) y los potreros activos (PA) muestran la menor diversidad. La figura evidencia que algunos sistemas de cultivo de caucho logran recuperar parte de la diversidad de termitas perdida por la ganadería, aunque sin alcanzar los niveles de los bosques.
Mas información en el artículo “Can Rubber Crop Systems Recover Termite Diversity in Previously Degraded Pastures in the Colombian Amazon Region?” disponible en el siguiente link: https://doi.org/10.1007/s13744-021-00905-y
Características de las Terras Pretas de la Amazonia colombiana
En un trabajo conjunto entre investigadores de la Universidad de Bon en Alemania e investigadores del Instituto SINCHI, se estudiaron muestras de los suelos creados por antiguos pobladores amazónicos antes de la llegada de los Europeos a América (Terras Pretas), presentes en la Amazonia colombiana y los comparan con los encontrados en Brasil.
Aparentemente las Terras Pretas de la Amazonia colombiana son menos fértiles que las encontradas en diversos sitios en Brasil. Los resultados indicarían diferente manejo de los residuos orgánicos en las diferentes sociedades prehispánicas amazónicas, que dieron origen a suelos con diferencias en su fertilidad.

Mas información en el artículo “Terra Preta properties in Northwestern Amazonia (Colombia)” disponible en el siguiente link: https://doi.org/10.3390/su13137088
El caucho se asocia con una gran cantidad de hongos formadores de micorrizas arbusculares siendo una especie importante para la restauración de zonas degradadas
Investigadores del Instituto SINCHI evaluaron la micorrización arbuscular en clones de caucho nativos y de clones introducidos para estudiar sus diferencias. Los resultados mostraron que, independientemente de origen del caucho (clonal o no) el caucho es un buen hospedero de hongos formadores de micorrizas arbusculares, asociándose con más de 30 especies diferentes.
En este sentido, el caucho puede considerarse una especie adecuada para la recuperación y restauración de zonas amazónicas intervenidas, promoviendo asociaciones micorrícicas con otras plantas y facilitando los procesos de sucesión natural. Sin embargo, el cultivo del caucho aún sigue técnicas tradicionales de manejo como el uso de herbicidas y agroquímicos que afectan esta asociación benéfica planta-hongo.

Mas información en el artículo “Arbuscular mycorrhization in Colombian and introduced rubber (Hevea brasiliensis) genotypes cultivated on degraded soils of the Amazon region” disponible en el siguiente link: https://doi.org/10.3390/agriculture11040361
El pH y la temperatura describe los patrones de distribución de hongos formadores de micorrizas arbusculares en el mundo
En un estudio global que reunió a investigadores de todo el mundo, incluidos investigadores del Instituto SINCHI, permitió que a partir del análisis de la información molecular de hongos formadores de micorrizas arbusculares de diversas muestras de suelo a partir del uso de una misma metodología molecular, se estudiara la composición de estos hongos en diversos lugares del mundo con características diferentes para entender su distribución y nichos.
Los resultados muestran que el pH del suelo y la temperatura son los factores que definen la composición y distribución global de estas comunidades de hongos a nivel global.

Mas información en el artículo “Temperature and pH define the realised niche space of arbuscular mycorrhizal fungi” disponible en el siguiente link: https://doi.org/10.1111/nph.17240